Номер 2. Вопросы § 14 - ГДЗ Алгебра 7 класс. Мерзляк, Полонский. Учебник. Страница 93

Вернуться к содержанию учебника

Вопросы § 14. Страница 93

11 12 1 2 1 2 1

Вопрос

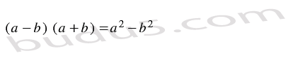
Запишите формулу произведения разности и суммы двух выражений.

Подсказка

Ответ

11 12 1 2 1 2 1


Вернуться к содержанию учебника