Задание 2.339 - ГДЗ Математика 6 класс. Виленкин, Жохов. Учебник часть 1

Старая и новая редакции

Вернуться к содержанию учебника

2.336 2.337 2.338 2.339 2.340 2.341 2.342

Вопрос

Выберите год учебника

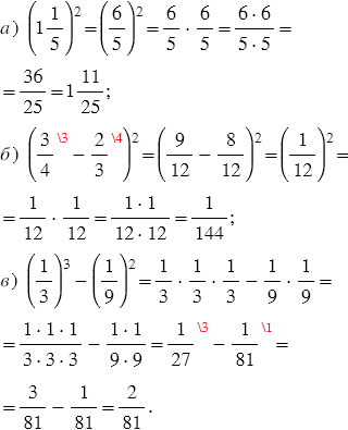
№2.339 учебника 2023-2024 (стр. 90):

Вычислите:


№2.339 учебника 2021-2022 (стр. 85):

В художественной школе организовали выставку детских рисунков, на которой было представлено 144 работы. При этом графические рисунки составляли всех работ, рисунки акварелью - 0,75 остальных работ. Сколько рисунков акварелью было представлено на выставке?

Подсказка

№2.339 учебника 2023-2024 (стр. 90):

Вспомните:

  1. Квадрат и куб числа.
  2. Умножение обыкновенных дробей.
  3. Вычитание дробей с разными знаменателями.
  4. Приведение дробей к общему знаменателю.
  5. Вычитание дробей с одинаковыми знаменателями.
  6. Основное свойство дроби.

№2.339 учебника 2021-2022 (стр. 85):

Вспомните:

  1. Оформление задач.
  2. Как найти часть от числа, умножение обыкновенных дробей.
  3. Сокращение дробей.
  4. Неправильные дроби.
  5. Деление и дроби.
  6. Умножение десятичных дробей.

Ответ

№2.339 учебника 2023-2024 (стр. 90):


Пояснения:

Чтобы возвести число в степень, нужно умножить это число само на себя столько раз, какова его степень.

Если выражение содержит число степени, то сначала нужно возвести это число в степень, а затем выполнить остальные действия.

Если выражение содержит действие в степени, то сначала нужно выполнить действие под степенью, затем возвести полученный результат в степень и выполнить оставшиеся действия.

Произведением двух дробей является дробь, числитель которой равен произведению числителей, а знаменатель - произведению знаменателей.

Чтобы вычесть две дроби с разными знаменателями, надо: привести данные дроби к общему знаменателю (наименьшее общее кратное знаменателей вычитаемых дробей), используя основное свойство дроби, а затем применить правило вычитания дробей с одинаковыми знаменателями (чтобы найти разность двух дробей с одинаковыми знаменателями, нужно из числителя уменьшаемого вычесть числитель вычитаемого, а знаменатель оставить прежним).


№2.339 учебника 2021-2022 (стр. 85):

1) - графические.

2) 144 - 40 = 104 (рис.) - остальные работы.

3) 104 • 0,75 = 78 (рис.) - акварелью.

  × 1 0 4
  0 7 5
+   5 2 0
7 2 8  
  7 8 0 0

Ответ: 78 рисунков акварелью было представлено на выставке


Пояснения:

Чтобы найти дробь от числа (десятичную или обыкновенную), нужно умножить число на эту дробь.

В художественной школе организовали выставку детских рисунков, на которой было представлено 144 работы. При этом графические рисунки составляли всех работ, значит, графических рисунков было:

Чтобы умножить обыкновенную дробь на натуральное число, нужно ее числитель умножить на это число, а знаменатель оставить без изменения. Чтобы вычисления были проще, не надо перемножать сразу, лучше сделать это после сокращения. Сократить дробь - значит, разделить ее числитель и знаменатель на их наибольший общий делитель. Также помним, дробь, у которой в знаменателе стоит единица, равна своему числителю.

Всего на выставке было представлено 144 рисунка, из которых 40 графических рисунков, тогда остальных рисунков было:

144 - 40 = 104 (рис.).

Рисунки акварелью составляли 0,75 от 104 рисунков, значит, рисунков акварелью было:

104 • 0,75 = 78 (рис.).

Чтобы умножить десятичную дробь на натуральное число, надо:

1) умножить их как натуральные числа, не обращая внимание на запятую;

2) в полученном произведении отделить запятой справа столько цифр, сколько их стоит после запятой у умножаемой дроби.


Вернуться к содержанию учебника